某电子商务企业每年销售某种商品25000件。已知该商品的单位购进成本为30元,订购成本为20元,储存成本为4元,求经济批量、年库

作者:高老师 浏览 0

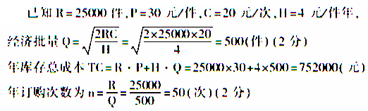
某电子商务企业每年销售某种商品25000件。已知该商品的单位购进成本为30元,订购成本为20元,储存成本为4元,求经济批量、年库存总成本和年订购次数。
【正确答案】:

📱 扫码体验刷题小程序

微信小程序二维码

扫一扫使用我们的微信小程序

热门题目

已复制到剪贴板