翰林刷题,免费考试真题网站!
首页
关于我们
首页
›
分类
› 详情
作者:高老师
时间:2024-07-20
浏览 2
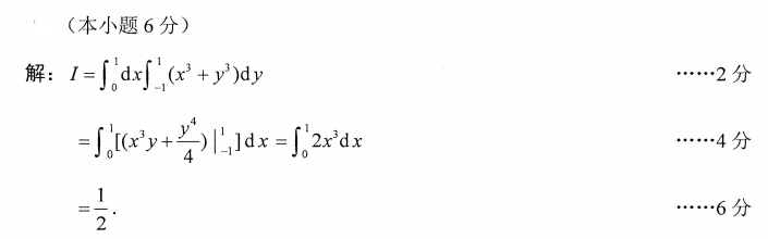
【正确答案】:
📱 扫码体验刷题小程序
扫一扫使用我们的微信小程序
热门题目
不同的历史条件下,人的历史使命是不一样的。当今时代,我国大学生的历史使命可以概述为()。
下列不属于生产者的产品质量义务的是()
从我国的实际情况看,农村居民食品支出比重的变化趋势为()
学前教育督导有综合性、专项督导和经常性督导,这是按督导的____来分的。
原文: 1949年以来我们的全民放假日只有7天。译文: China's official holidays had no mor
Ambiguity often arises due to ( ), as is shown in the sentence “
Wolves live in a world that requires certain predictable kinds o
市场补缺者的制胜之道是()
通常不需要对不利的材料数量差异负责的部门是
简要回答海运提单的性质与作用。
《吴士》中,吴士提出张士诚“不霸”的原因是
➕
➖
📋
⬆️
已复制到剪贴板