翰林刷题,免费考试真题网站!
首页
关于我们
首页
›
分类
› 详情
(本小题6分)求曲线的水平及铅直渐近线.
作者:高老师
时间:2024-07-20
浏览 1
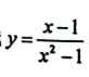
(本小题6分)
求曲线
的水平及铅直渐近线.
【正确答案】:
📱 扫码体验刷题小程序
扫一扫使用我们的微信小程序
热门题目
当企业正处于盈利能力不断上升,发展前景良好的时期,理想的融资方式是()。
社会主义法治理念具有丰富的内涵。其中,属于社会主义法治的价值追求的是()。
幼儿正在听老师讲故事,这时候屋外电闪雷鸣、狂风大作,孩子们不由自主地都探头去看、去听。这种注意形式是
()是税款的实际承担者。
We shall be pleased if you will arrange to insure the goods on o
在指数平滑预测公式中Ft+1=Ft+αet,一般α取值为_____之间,et是_____,特殊地α为1时,Ft+1就是
注册会计师某项资产是按历史成本入账还是按公允价值入账,主要是为了证实资产的认定是()
某设备购建于2006年底,2010年底进行评估。其历史成本为12万元,2007~2010年的该类资产环比物价指数分别为5%,4%
下列各项中,不属于私人个别需要的有( )
下列方法中,属于成本计算基本方法的是()。
简述“朱希真体”的艺术风格。
下列唱词中,能体现《西厢记》词章之美的是( )
➕
➖
📋
⬆️
已复制到剪贴板