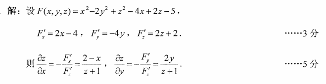
设函数z=z(x, y)是由方程x3-2y2+z2一4x+2z-5=0所确定的隐函数,求偏导数.

作者:高老师 浏览 1

设函数z=z(x, y)是由方程x3-2y2+z2一4x+2z-5=0所确定的隐函数,求偏导数.


【正确答案】:

📱 扫码体验刷题小程序

微信小程序二维码

扫一扫使用我们的微信小程序

热门题目

已复制到剪贴板