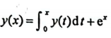
设连续函数y(x)满足,求y(x)所满足的微分方程,并求其通解.

作者:高老师 浏览 3

设连续函数y(x)满足,求y(x)所满足的微分方程,并求其通解.


【正确答案】:

📱 扫码体验刷题小程序

微信小程序二维码

扫一扫使用我们的微信小程序

热门题目

已复制到剪贴板