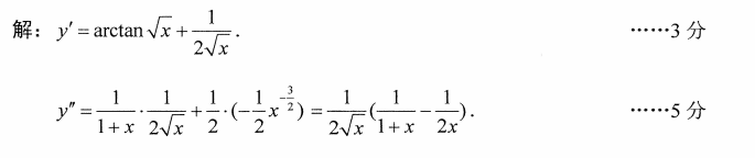
设函数y=(1+ x)arc tan,求二阶导数y”.

作者:高老师 浏览 1

设函数y=(1+ x)arc tan,求二阶导数y”.


【正确答案】:

📱 扫码体验刷题小程序

微信小程序二维码

扫一扫使用我们的微信小程序

热门题目

已复制到剪贴板