翰林刷题,免费考试真题网站!
首页
关于我们
首页
›
分类
› 详情
作者:高老师
时间:2024-07-20
浏览 1
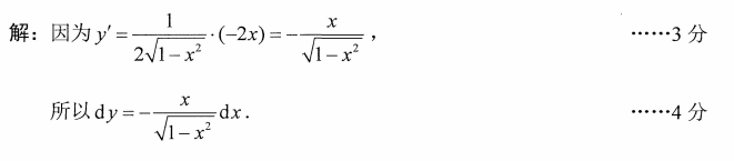
【正确答案】:
📱 扫码体验刷题小程序
扫一扫使用我们的微信小程序
热门题目
为什么说中华人民共和国的成立开辟了中国历史的新纪元?
罗广斌、杨益言的著名长篇小说是(  )
VIP客户指的是金字塔中最上层的客户,也就是在过去特定期间内,依购买金额所占最多的( )客户。
毛泽东主张企业要建立“两参一改三结合”的制度,其中“两参”是指()
阅读柳永《八声甘州》,回答问题: 对潇潇暮雨洒江天,一番洗清秋。渐霜风凄紧,关河冷落,残照当楼。是处红衰翠减,苒苒物华休。惟有长
清朝政府按照资本主义国家教育办学模式兴办的(),标志着我国技术学校的雏形,标志着职业技术教育与普通教育的分离。
通过师生的民主对话与讨论而共同思考、探究和解决问题的教学方法属于( )
(日本)《幼儿园教育大纲》
关于幼儿园教育活动的表述,错误的是
属于自然损耗产生的定额内存货损耗,在报经批准后应该
格兰公司为增值税一般纳税人,增值税率为17%,所得税率为25%,原材料按计划成本核算。该公司2018年发生的经济业务如下:(1)
声明函数为内联使用的关键字为
➕
➖
📋
⬆️
已复制到剪贴板