翰林刷题,免费考试真题网站!
首页
关于我们
首页
›
分类
› 详情
作者:高老师
时间:2024-07-20
浏览 2
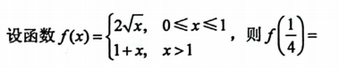
A、
B、
C、1
D、
【正确答案】:C
📱 扫码体验刷题小程序
扫一扫使用我们的微信小程序
热门题目
垄断资本主义的产生并占统治地位是()
简述矛盾的同一性和斗争性的含义及二者的关系。
过其友,曰:“孟尝君客我。”过:
企业外部环境和内部资源进行匹配分析时,指导企业进行战略选择的分析工具是()
第一个提出了一般均衡的数学模型的经济学家是
_______是一组为了完成某项特定功能的SQL语句集,其实质上就是一段存储在数据库中的代码。
商业银行吸收的存款中必须交存中央银行的部分是( )。
《诗经》编定的“采诗说”出自( )
试述朱自清散文的题材类型和主要艺术特色。
在诗歌创作思维规律方面,第一位将“形象”和“思维”结合起来讨论的是
属于儒家的重要典籍有( )
国家直接干预和控制学前教育行政和幼儿园教育现象的法律手段是
➕
➖
📋
⬆️
已复制到剪贴板