翰林刷题,免费考试真题网站!
首页
关于我们
首页
›
分类
› 详情
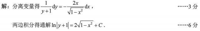
(本小题6分)
作者:高老师
时间:2024-07-20
浏览 1
(本小题6分)
【正确答案】:
📱 扫码体验刷题小程序
扫一扫使用我们的微信小程序
热门题目
阶级斗争的根源在于()。
道德建设的核心,体现并决定着社会道德建设的根本性质和发展方向。我因社会主义道德建设的核心是()
喜欢自己的工作,心情愉快,乐观向上;用一种恭敬的态度对待工作,不偷懒,不怠工;对本职工作精益求精,熟练地掌握职业技能。这些都是职
简述中国共产党关于农业合作化的方针政策和办法。
下列属于短期国库券利率构成内容的是
歌德
下列不属于系统方法论基本范畴的是
标准差是什么?
Everybody should have a sincere( )for the laws of his country.
简述非关税壁垒类别。
小说《小二黑结婚》中,在区长面前反复说“恩典恩典”的人物是( )。
( )是平面广告设计表现的基础。
➕
➖
📋
⬆️
已复制到剪贴板