翰林刷题,免费考试真题网站!
首页
关于我们
首页
›
分类
› 详情
作者:高老师
时间:2024-07-20
浏览 1
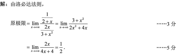
【正确答案】:
📱 扫码体验刷题小程序
扫一扫使用我们的微信小程序
热门题目
某工程钢筋加工有现场制作和外包加工两个方案,现场制作方案的固定费用12万元,每吨加工费用150元;外包加工每吨加工费用250元。
简述我国实现区域经济结构优化的基本战略定位。
四分位全距是指一组由小到大排列数据 ( )
My father waved me good bye and the bus set off. The person sitt
在研究青少年犯罪现象时,有人将失足的青少年和没有失足的青少年进行比较研究。经过分析之后发现,失足青少年的家庭缺乏稳定性,存在各种
每次计数活动必须以一个固定的顺序连贯地使用数词,这体现的是计数活动的( )
Passage 1Holst and Company, a member of the Northwest Holst Grou
breadwinner 这个单词的意思是( )
设计标准成本会计制度时,其( )。
范成大最著名的诗歌属于()
《齐桓晋文之事》中按照孟子的仁击理想,要使“颁白者不负戴于道路”,必须做到
病因假设形成的基本方法有哪些?
➕
➖
📋
⬆️
已复制到剪贴板