翰林刷题,免费考试真题网站!
首页
关于我们
首页
›
分类
› 详情
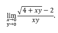
求下列二重极限:
作者:高老师
时间:2024-07-20
浏览 0
求下列二重极限:
【正确答案】:
📱 扫码体验刷题小程序
扫一扫使用我们的微信小程序
热门题目
五四运动发生的时代条件和历史条件是:
我国社会主义初级阶段市场体系的特征是()。
财务管理的综合性主要体现在()
存货的收入、发出均采用预先制定的计划成本进行核算的核算方法叫做()
新光外贸公司因经营业务的需要,将本公司的港元200,000元兑换美元。兑换日港币对人民币的市场汇率为为1:1.055,经营外汇银
在谈判过程中,我们相互增强了了解,这对我们今后的业务很有意义。
直接投资由于投资比重的不同,可以分为()
企业筹资业务财务分析控制制度设计的内容包括哪些
《长生殿》传奇的作者是
几乎所有IgA肾病患者都有的临床表现是
______阶段是将家庭健康护理计划付诸行动的过程。
机会之窗策略是指发生在
➕
➖
📋
⬆️
已复制到剪贴板