翰林刷题,免费考试真题网站!
首页
关于我们
首页
›
分类
› 详情
作者:高老师
时间:2024-07-20
浏览 2
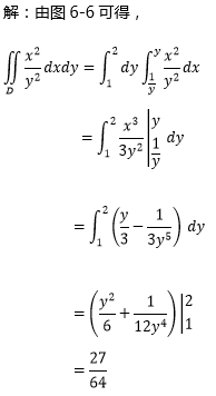
【正确答案】:
📱 扫码体验刷题小程序
扫一扫使用我们的微信小程序
热门题目
关于职业生涯和职业生涯规划,下列说法正确的是()
美国管理学家_________提出了“目标管理”概念。 ( )
存在主义文学的代表作家有( )
下列不属于社会保险的是( )
英国“工艺美术运动”组织者莫里斯与( )第一次在国际范围内领先成立了“艺术与手工艺协会”
说明会计的主要职能。
最能充分反映与体现幼儿学习与发展的主体性的是
教师通过语言,自己或与儿童共同评论游戏中的儿童及行为,表扬和肯定正确的,也可以指出不足或提出建议的方法是
里昂惕夫提出“里昂惕夫之谜”的研究对象是( )
为中国诗学开一新纪元的是()
下列诗人中,不属于“吴中四士”的是
晏几道《临江仙》“落花人独立,微雨燕双飞”两句袭用翁宏的诗句,翁宏是
➕
➖
📋
⬆️
已复制到剪贴板