翰林刷题,免费考试真题网站!
首页
关于我们
首页
›
分类
› 详情
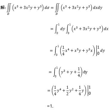
计算下列二重积分:
作者:高老师
时间:2024-07-20
浏览 0
计算下列二重积分:
【正确答案】:
📱 扫码体验刷题小程序
扫一扫使用我们的微信小程序
热门题目
有效把握客户的心理与需求是关闭订单、赢得客户忠诚的关键之一。需求对个人满足的主要表现包括( )。
下列各对函数中,不能复合成一个函数的是()
以下属于员工个人绩效目标主要来源的有 ①组织的绩效目标②员工的岗位职责③个人的职业规划④内外部客户的需要
简述劳动力市场动态均衡的三种模型。
什么是线形图?
社区学前教育
(201204.9)单项选择题:“(p→r)∧(q→r)∧(p∨q)├r”这一推理式是二难推理的()
次数分布可以形成一些典型的类型,并用曲线表示。其中,“中间大,两头小”的分布曲线是
昨日は( )ので、よく寝ることができませんでした。
いぬが走ってきました。
volintary export restriction
在国际贸易中几乎不可能使付款和实际交货同时进行。
➕
➖
📋
⬆️
已复制到剪贴板