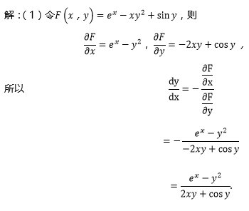
设y=y(x)是由下列方程确定的隐函数,求dy/dx. e^x=xy^2-sin⁡y

作者:高老师 浏览 0

设y=y(x)是由下列方程确定的隐函数,求dy/dx. e^x=xy^2-sin⁡y
【正确答案】:

📱 扫码体验刷题小程序

微信小程序二维码

扫一扫使用我们的微信小程序

热门题目

已复制到剪贴板