翰林刷题,免费考试真题网站!
首页
关于我们
首页
›
分类
› 详情
,
作者:高老师
时间:2024-07-20
浏览 0
,
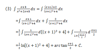
【正确答案】:
,
📱 扫码体验刷题小程序
扫一扫使用我们的微信小程序
热门题目
管理的特点有
生产过程的连续性,同( )有关。
45.简述商业文化的作用力量。
完整治疗学者们相当重视用个体本身所具有的感官来进行接触。
在讨论法的科学教育活动中,关于教师的指导,说法正确的是
支付给送货司机的工资属于( )
Regarding payment,we only accept L/C______by draft at sight.
下列行业中哪一个最接近于完全竞争的模式?()
iostream是C++标准类库中的一个关键的“流类”,从该类派生的“流类”为
The fiction of the American _____ period ranges from the comic f
“新派诗”
按照等级原则和指挥链,由上级对下级逐级发布命令和进行指挥的权力是指 ()
➕
➖
📋
⬆️
已复制到剪贴板