翰林刷题,免费考试真题网站!
首页
关于我们
首页
›
分类
› 详情
作者:高老师
时间:2024-07-20
浏览 0
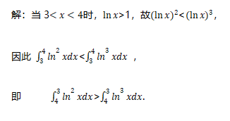
【正确答案】:
📱 扫码体验刷题小程序
扫一扫使用我们的微信小程序
热门题目
新文化运动的主要内容是( )
销售竞赛能最有效地激励自我欣赏型销售人员。
天下之水,莫大于海
如果绩效评估系统存在标准缺失,则绩效评估不具备评价的()
简述样本的特点。
公司财务分析的主体有哪些?
视觉识别系统
( )是中世纪基督教宣传的儿童观。
财政是国家凭借政权对一部分社会产品进行分配和再分配而形成的
已知A是一个三阶实对称正定的矩阵,那么A的特征值可能是()
某项租赁设备全新时可使用年限为15年,已经使用了3年,租赁期为10年。下列判定正确的是( )
在杜邦分析体系中,假设其他情况相同,下列说法中错误的是()。
➕
➖
📋
⬆️
已复制到剪贴板