翰林刷题,免费考试真题网站!
首页
关于我们
首页
›
分类
› 详情
,,
作者:高老师
时间:2024-07-20
浏览 0
,
,
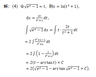
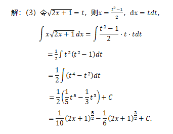
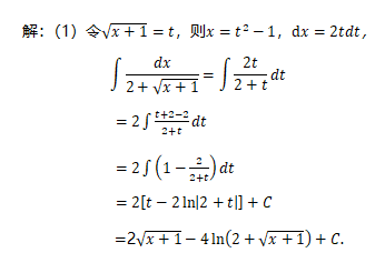
【正确答案】:
,
,
📱 扫码体验刷题小程序
扫一扫使用我们的微信小程序
热门题目
从企业所处的层次来看,对应管理信息的分类特点,可将管理信息系统分成
简述审批活动关键点的内容。
荷马史诗中的奥德修斯是( )。
社会保障的主体是( )
在吸收中西方艺术时应做到( )
以下哪个选项给出了所有的规模经济类型?()
下列哪项不属于情绪行为障碍评价的标准
改进题:These days,the U. S. economy isn't "graduating enough scient
Until the domain theory of magnetism was developed, they did not
Who issues the inspection certificate in case the quality of the
外面太冷了,孩子们只好在屋里玩。
企业是否存在优势,集中反映在企业的经营实力上。下列属于该方面分析的是( )。
➕
➖
📋
⬆️
已复制到剪贴板