翰林刷题,免费考试真题网站!
首页
关于我们
首页
›
分类
› 详情
,,
作者:高老师
时间:2024-07-20
浏览 0
,
,
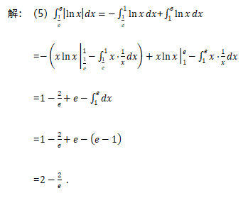
【正确答案】:
,
,
📱 扫码体验刷题小程序
扫一扫使用我们的微信小程序
热门题目
按照管理方法所处的地位层次,管理方法可以分为
下列作品,善用比喻说理的有()
( )认为,在劳动力市场上,大部分女性和从农村转移进城的劳动力都在初级劳动力市场上就业,进而导致了一种长期延续下来的对他们的歧视
简述复杂人假设的内容。
消毒物品必须全部浸在水中,一般致病菌在煮沸15~30分钟后即可灭活。()
借贷记账法起源于( )
国际货物运输保险的三个基本险别中,保险范围和责任相对最小的是()
企业进行管理信息系统开发必须具备的条件中,最重要的一个是
It was not until she had arrived home ()remembered her appointme
综合记分卡财务方面的评价指标主要有()
用层次分析法分析下列句法结构并指出直接成分之间的结构关系。(1)我喜欢吃苹果(2)桌子你必须擦干净(3)写出更多更好的作品(4)
符号化下列命题,并构造推理证明。一个人只有努力,才能获得成功;每个人或者获得成功,或者曾经失败过;有些人未曾失败过,所以有些人很
➕
➖
📋
⬆️
已复制到剪贴板