翰林刷题,免费考试真题网站!
首页
关于我们
首页
›
分类
› 详情
,,,,
作者:高老师
时间:2024-07-20
浏览 0
,
,
,
,
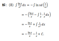
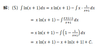
【正确答案】:
,
,
,
,
📱 扫码体验刷题小程序
扫一扫使用我们的微信小程序
热门题目
( )是主要着眼于优化和测试Web应用程序的无缝集成。
Biological ClockWhen the sun rises on a warm and sunny day, you
试述实事求是思想路线的重要意义。
劳动力市场运行机制包括
以下哪位科学家于1913年发表了《行为主义者心目中的心理学》一文标志着行为主义心理学的诞生?( )
已知所有S是P,试用欧拉图表示概念S与概念P之间可能有的外延关系。
在现实中,套汇交易涉及一些交易成本,不同市场的汇率差异应该等于()
设备管理程序对设备的分配和控制是借助一些表格进行的,下面的表格中()不属于设备管理程序。
I grow old... I grow old... I shall wear the bottoms of my trous
以公允价值模式计量的交易性房地产在日后出售时,应将前期出现的公允价值变动损益转入营业外收入。
对梯度渐进增长理论理解有误的是
➕
➖
📋
⬆️
已复制到剪贴板