翰林刷题,免费考试真题网站!
首页
关于我们
首页
›
分类
› 详情
,,,,
作者:高老师
时间:2024-07-20
浏览 1
,
,
,
,
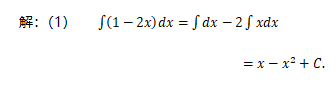
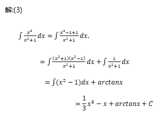
【正确答案】:
,
,
,
,
📱 扫码体验刷题小程序
扫一扫使用我们的微信小程序
热门题目
中国古代哲学家荀子说:“天行有常,不为尧存,不为桀亡。”这句话体现的哲学道理是()。
网络营销的个性化营销策略是( )
简述防范资本运营风险的有效措施。
下列不属于风险型指标的是()
试述现代企业制度的基本内容。
Windows“资源管理器”窗口如本题图所示,简述数字标示区的名称及作用。
常用的离散型随机变量的概率分布有
假如某个员工的基本薪酬是8000元,而区间最高值是10000元,区间最低值是5000元,则区间渗透度为( )。
企业所得税实行统一的比例税率,税率为
在使用Windows操作系统的计算机中,除键盘外,_________是应用范围最广的输入设备。
承租人将租入的资产转租给第三方的租赁是
以下属于区域经济一体化构成基础的变化有()
➕
➖
📋
⬆️
已复制到剪贴板