翰林刷题,免费考试真题网站!
首页
关于我们
首页
›
分类
› 详情
作者:高老师
时间:2024-07-20
浏览 0
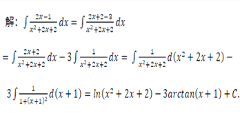
【正确答案】:
📱 扫码体验刷题小程序
扫一扫使用我们的微信小程序
热门题目
1920年11月,中国共产党早期组织领导的第一个产业工会是( )
通过集体讨论的方式获取拟建系统的各方面情况并进行分析指的是座谈法。
工人再生产劳动力价值的时间,叫做()。
森さんは、ピアノを()ことができます。
Dick was not a( )son, because he made his old father live alone.
原文:20世纪90年代末以来,由于低利率和宽松的货币政策,美国一直处于借款和消费的热潮中。
最常用的三种投资方案评价方法是( )
A与B相互独立,P(A)>0,P(B)>0,则一定有P(A∪B)=()
按照来源,审计证据可以分为外部证据和内部证据,下列各项中属于外部证据的是( )。
计划成本及定额成本确定的依据是()
广告效果的测量方法有很多种,其中在受试者接触广告的同时,使用仪器如:电流仪、脉搏计等检测受试者的出汗情况、心跳和血压的变化情况从
过敏性休克
➕
➖
📋
⬆️
已复制到剪贴板