设平面图形由y=x2 (x≥0),y=1与x=0所围成,求: (1)该平面图形的面积A; (2)该平面图形绕y轴旋转所得旋转体

作者:高老师 浏览 0

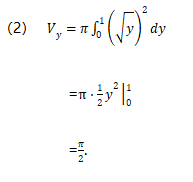
设平面图形由y=x2 (x≥0),y=1与x=0所围成,求: (1)该平面图形的面积A; (2)该平面图形绕y轴旋转所得旋转体的体积Vy.
【正确答案】:,

📱 扫码体验刷题小程序

微信小程序二维码

扫一扫使用我们的微信小程序

热门题目

已复制到剪贴板