翰林刷题,免费考试真题网站!
首页
关于我们
首页
›
分类
› 详情
,
作者:高老师
时间:2024-07-20
浏览 1
,
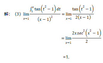
【正确答案】:
,
📱 扫码体验刷题小程序
扫一扫使用我们的微信小程序
热门题目
简述20世纪70年代,中国在外交领域的成就。
由于参与决策的群体成员把保持群体和谐一致作为目的,往往不能理智地分析各种备择方案,而表现出群体空想症,从而使决策质量降低。群体空
下列属于税后利润分配项目的有( )。
(论述题)影响儿童认知的特殊家庭形态。
简要说明学前儿童阶段常见的守恒能力发展的类别。
在母公司以高于或低于子公司净资产账面价值购入子公司全部或部分股份时,其长期股权投资账面余额和投资收益中,( )摊销的股权投资差
属于利润中心考核的指标是
系统测试的目的是()
语音物理属性四要素中,_____指声音的高低,它决定于发音体振动的频率。
抗甲状腺药物主要的副作用是_______。
能够提高讲授效果的教师行为包括
简述I/O中断。
➕
➖
📋
⬆️
已复制到剪贴板