翰林刷题,免费考试真题网站!
首页
关于我们
首页
›
分类
› 详情
作者:高老师
时间:2024-07-20
浏览 0
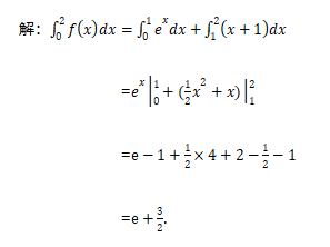
【正确答案】:
📱 扫码体验刷题小程序
扫一扫使用我们的微信小程序
热门题目
复利
论述法的社会作用。
《诗经·秦风·蒹葭》是一首( )
资产负债表的编制依据是( )
某研究者在研究儿童的表情时,通过给儿童看恐怖电影来观察儿童面部表情的变化,这违背了学前教育科学研究的
下列选项中,不属于企业对外报送的财务报表的是
投资按期限可分为
信息分析是对各种相关信息的深度加工是一项具有研究性质的
bear 这个单词的意思是( )
第9题
简述关税同盟与自由贸易区在关税政策上的异同。
滔滔海水日趋东,万法从新要大同。后二十年言定验,手书《心史》井函中。(黄遵宪《己亥杂诗》四十七)
➕
➖
📋
⬆️
已复制到剪贴板