翰林刷题,免费考试真题网站!
首页
关于我们
首页
›
分类
› 详情
,,
作者:高老师
时间:2024-07-20
浏览 1
,
,
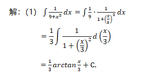
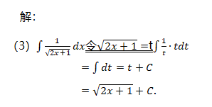
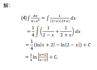
【正确答案】:
,
,
📱 扫码体验刷题小程序
扫一扫使用我们的微信小程序
热门题目
生产商能够选择中间商类型、数目和地理分布,并且支配中间商的销售政策和价格政策,这样的销售控制是()。
《行路难》(其一)中“停杯投箸不能食,拔剑四顾心茫然”所使用的抒情方法是( )
国家垄断资本主义是
儿童的发展是一种服从自然规律按照成熟类型进行的过程,它并不依赖于教学。这是 )心理学家的观点。
Translate the following sentences into English.垂直分割市场至关重要。这使公司能够
设A为3阶矩阵,且|A|=2,则|A*|=()。
对组织未来一段时间内总体战略目标、重点的规划,属于
清洁提单
职工所在单位为职工缴存的住房公积金,属于( )
公元9世纪法兰克人的《麦玛威法》中规定:“凡犯盗窃罪,必须交付审判。如在审判中为火所灼伤,即认为不能经受火审的考验,处以死刑……
维果斯基认为,儿童存在两种发展水平:一种是儿童现有发展水平,另一种是儿童即将达到的发展水平。他将这两种水平之间的差距称为“___
现代教育的公共性
➕
➖
📋
⬆️
已复制到剪贴板