翰林刷题,免费考试真题网站!
首页
关于我们
首页
›
分类
› 详情
,,,
作者:高老师
时间:2024-07-20
浏览 0
,
,
,
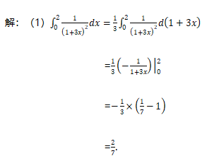
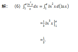
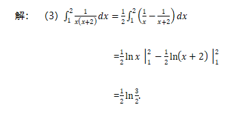
【正确答案】:
,
,
,
📱 扫码体验刷题小程序
扫一扫使用我们的微信小程序
热门题目
简述新时期爱国主义的时代要求
工作分析的评估主要从( )方面进行。
在确定最优资本结构时,只考虑资本成本的决策方法是( )
英国发生的圈地运动中,农民的转移属于( )
现场实验
有规则的游戏(名词解释)
He looked across the sea: a faint () of pale light was rising in
In insurance of all risks, the insurer is responsible for total
一棵树的结点个数最少为▲
在编制一般物价水平资产负债表时,如采用先进先出法确定付出存货成本,则“存货”项目换算调整时的基期物价指数是
简述基于计算机的信息系统(CBIS)的优越性。
在我国,个人取得的稿酬所得适用比例税率,税率为
➕
➖
📋
⬆️
已复制到剪贴板