翰林刷题,免费考试真题网站!
首页
关于我们
首页
›
分类
› 详情
作者:高老师
时间:2024-07-20
浏览 0
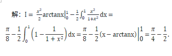
【正确答案】:
📱 扫码体验刷题小程序
扫一扫使用我们的微信小程序
热门题目
根据马克思主义的观点,把劳动视为生活的第一需要,并能充分施展和全面发挥人的一切才能的社会是
按岗位实际承担者的性质和特点进行分类,一般可将工人岗位分为
资本主义的____过程,不仅是创造使用价值的劳动过程,同时也是价值形成过程和价值增殖过程。()
联系实际论述西方管理心理学人性假设与管理理论的发展。
某一媒体在其覆盖面内接受广告信息的人数占总人数的比率指的是( )
简述企业以其自产产品或外购商品作为非货币性福利发放给职工的处理方法?
Taking charge The HUGO BOSS groupis represented in the fas
一级目录结构的文件系统的主要特点是
以下有关异步数据传输说法中正确的是()
妥善调适朋友关系的技法有
下列不属于秦牧的散文集的是()
下列句子中加着重号的词解释完全正确的是
➕
➖
📋
⬆️
已复制到剪贴板