翰林刷题,免费考试真题网站!
首页
关于我们
首页
›
分类
› 详情
作者:高老师
时间:2024-07-20
浏览 0
A、
B、
C、
D、
【正确答案】:B
【题目解析】:
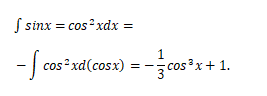
本题主要考查的知识点是不定积分的第一换元积分法.
📱 扫码体验刷题小程序
扫一扫使用我们的微信小程序
热门题目
与预算控制比较,( )更具有规范性、自律性和防护性的特征,带有更多的强制性。
组织设计的原则包括( )
人体感觉器官包括()
在求minS的线性规划问题时,()肯定成立。
目前最主要的内部网关协议是【】
ISP提供给注册用户的信息一般包括()
在调査中,有一点原则必须要强调,即( )原则。
探月任务的英文翻译是( )
1994年建立的北美自由贸易区包括()
简述关境的含义及其与国境的关系。
某种商品的价格X和供给数量Y之间的有关数据如下表:价格X(美元)3581012供给数量Y(万吨)4691114试用简单线性回归方
体现了冰心“爱的哲学”的诗集是( )
➕
➖
📋
⬆️
已复制到剪贴板