翰林刷题,免费考试真题网站!
首页
关于我们
首页
›
分类
› 详情
作者:高老师
时间:2024-07-20
浏览 0
A、1
B、-1
D、0.5
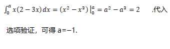
【正确答案】:B
【题目解析】:
本题主要考查的知识点是牛顿—莱布尼茨公式.
📱 扫码体验刷题小程序
扫一扫使用我们的微信小程序
热门题目
Neither the prices nor the quality ____ in the last contract. (s
( )又称日本欧洲大陆模式。在董事会、监事会当中,要有股东以外的利益相关者代表参加,其目的是发挥利益相关者的作用。
简述创作路牌广告需要考虑的主要因素。
简述使用评定问卷研究应注意的问题。
R公司本年度销售给M公司商品一批,价款20万元已全部收到,但该批商品到本年末尚未完工,已发生实际成本12万元。R公司本年度的销售
引起攻击
The last decade saw the number of Chinese corporations listed in
The children,( ), were allowed to leave the table.
————。
按照一般物价水平会计利润表“折旧费用”项目进行调整时,所采用折算公式的分母是( )。
国际贸易最基本、最原始的形式是()
“闲云潭影日悠悠,物换星移几度秋”出自()
➕
➖
📋
⬆️
已复制到剪贴板