翰林刷题,免费考试真题网站!
首页
关于我们
首页
›
分类
› 详情
作者:高老师
时间:2024-07-20
浏览 0
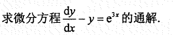
【正确答案】:
📱 扫码体验刷题小程序
扫一扫使用我们的微信小程序
热门题目
下列选项中,属于按收购公司与目标公司是否直接接触划分的跨国并购的类型的是( )
实行全行业公私合营后的赎买政策是()
根据符号学的理论,设计批评者就是设计符号的()
简述好的商务信函的标准。
直接税
软件开发工具的智能化,就是在软件开发工具的研究与使用中引用人工智能以及( ) 等技术。
描述事物运动和状态的变化,是指信息具有()
设随机变量X服从参数为3的泊松分布,则P{X=2}=______.
下列不属于会计政策变更的项目是
“并非所有的顾客都喜欢同样的麦片粥、酒店、大学或电影”,这句话蕴含的道理有()
产品生产周期中的非增值时间有( )。
下列张若虚《春江花月夜》诗句中,写思妇怀人的是( )。
➕
➖
📋
⬆️
已复制到剪贴板