翰林刷题,免费考试真题网站!
首页
关于我们
首页
›
分类
› 详情
作者:高老师
时间:2024-07-20
浏览 1
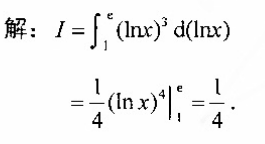
【正确答案】:
📱 扫码体验刷题小程序
扫一扫使用我们的微信小程序
热门题目
按照新准则规定,企业所得税的核算要求采用
If thesegoods have not reached us by the end of this week, we sh
简述信息系统与组织之间的关系。
简述生产要素禀赋理论的精要。
“伤痕小说”
孕妇睡眠时宜采取左侧卧位,目的是
将直线方程2x-3y+z-5=0,3x+y-2z-4=0化为对称式.
已知广义表LS=(((a,b),(c,d),(e,f,(g,h,i))),LS的深度是
下列有关可再入程序的说法中错误的是
E • 卡茨将媒介接触行为概括为一个“社会因素—心理因素—媒介期待—媒介接触—需求满足”的因果连锁过程,提出了“( )“过程的基
以下不符合房地产广告管理规范的是()。
试述在管理工作中采用经济方法的主要特点。
➕
➖
📋
⬆️
已复制到剪贴板