翰林刷题,免费考试真题网站!
首页
关于我们
首页
›
分类
› 详情
作者:高老师
时间:2024-07-20
浏览 0
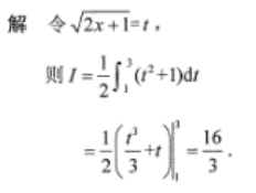
【正确答案】:
📱 扫码体验刷题小程序
扫一扫使用我们的微信小程序
热门题目
而吾未尝以此自多者自多:
在同一个工作簿中区分不同工作表的单元格,要在地址前面增加 【 】
总供给是指一国在一定时期内生产的最终产品与服务的价值总和,所以总供给等于( )
简述劳动社会学的具体研究方法。
简述世界各国学前教师任用制度的发展趋势。
简述智力落后儿童的概念及其记忆的特点。
下列各项中,属于期间费用的有 ( )
由航空运输公司签发的航空运单称为
Please offer separate price ____ each grade.
某公司利用两种原料A、B生产甲、乙两种产品(吨),各产品所需的原料数,原料限量及单位产品所获利润如下表。企业目标是追求利润的最大
在软件开发工具发展的过程中,存在着多样性和 并存的特点。
下列情形存在时,注册会计师依据样本得出的结论可能与对总体实施同样的审计程序得出的结论不同,出现不可接受的风险。()
➕
➖
📋
⬆️
已复制到剪贴板