翰林刷题,免费考试真题网站!
首页
关于我们
首页
›
分类
› 详情
作者:高老师
时间:2024-07-20
浏览 0
B、1
C、2
D、3
【正确答案】:A
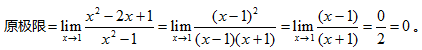
【题目解析】:
📱 扫码体验刷题小程序
扫一扫使用我们的微信小程序
热门题目
下列《长恨歌》诗句中,写唐玄宗还京路上哀思杨妃的是
一般而言,食盐的需求价格弹性( )
分析损益平衡分析的局限性。
用户在程序中试图进行文件操作时,需要使用操作系统提供的
设x和y均为bool量,则x&&y值为真的条件是
The term “trade union” means differently in western countries an
简述当代世界市场的构成。
下列不属于限制进口的技术性贸易壁垒措施是()
在设计原始凭证时,应包括的要素有( )。
试述产品市场类型对营销传播组合的影响。
《小雅·十月之交》属于( )。
属于心理类应激源的是
➕
➖
📋
⬆️
已复制到剪贴板