翰林刷题,免费考试真题网站!
首页
关于我们
首页
›
分类
› 详情
作者:高老师
时间:2024-07-20
浏览 2
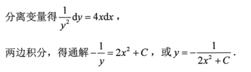
【正确答案】:
📱 扫码体验刷题小程序
扫一扫使用我们的微信小程序
热门题目
中共四大的中心议题是( )
申请证券、期货投资咨询从业资格的机构,其注册资本最低为( )万元。
简述从经营过程的角度,对库存进行分类。
法国著名管理学家法约尔认为管理的首要职能是( )。
简述东方近代文学的基本特征。
听觉广告文稿传播信息主要是通过( )
将特殊儿童和正常儿童混合编成小组,开展专门的教学活动,这采用了
简述我国储蓄存款的原则。
《联合国国际货物销售合同公约》明示索赔期限的办法是()
《企业会计准则第36号——关联方披露》中,规定了关联方关系认定的标准,以下不属于关联方的是()
世界市场
➕
➖
📋
⬆️
已复制到剪贴板