翰林刷题,免费考试真题网站!
首页
关于我们
首页
›
分类
› 详情
作者:高老师
时间:2024-07-20
浏览 0
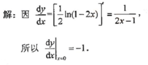
【正确答案】:
📱 扫码体验刷题小程序
扫一扫使用我们的微信小程序
热门题目
北洋军阀不再作为独立的政治力量继续存在,国民党在全国范围内建立自己的统治的标志性事件是()
契诃夫短篇小说《套中人》的主人公是
现代课程之父泰勒在20世纪初所创立的课程开发模式被看作是课程开发科学化运动的产物。其课程开发模式被称为( )
与“改革要胆子大,也要步子稳”不具有等价关系的有( )
美育以铸造人的完美人格为
试述较为通俗的健康标准。
信息分类的方法有哪些?
P{|X|≤1}
分部费用通常包括
直接标价法下,一定单位的外国货币折算的本国货币数额增多,说明本国货币汇率上升。
属于直接材料的有()
戏剧作为一种____,它最根本的目的是为了培养人们高尚的思想品质和高度的文化修养。
➕
➖
📋
⬆️
已复制到剪贴板