翰林刷题,免费考试真题网站!
首页
关于我们
首页
›
分类
› 详情
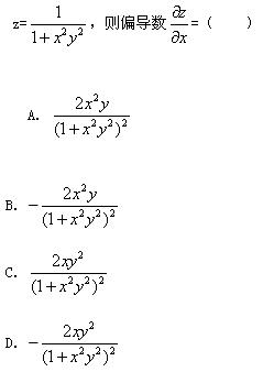
设函数
作者:高老师
时间:2024-07-20
浏览 0
设函数
A、见上A
B、见上B
C、见上C
D、见上D
【正确答案】:D
【题目解析】:
【答案解析】
📱 扫码体验刷题小程序
扫一扫使用我们的微信小程序
热门题目
某工程已有详细的设计图纸,建筑结构非常明确,采用的技术很成熟,则编制该单位建筑工程概算精度最高的方法是( )。
下列因素引起的风险中,投资者不能通过证券投资组合予以分散的有()
请写一份备忘录给夏普勒斯小姐,要求她作出解释。
19世纪初,致力于英国普及幼儿学校工作、促进幼儿学校在英国的发展,并对19世纪欧美各国的幼儿学校运动产生广泛影响的是
简述对视觉障碍儿童进行语言训练的方法。
学前儿童健康包括身体健康和()。
劳动力属于流失性的资源。
消费品
Please note that the prices you quote should bean an FOB basis
同业拆借市场、回购协议市场、国库券市场、票据市场、大额可转让定期存单市场等都属于资本市场。
利用拓扑排序算法的思想写一算法判别有向图中是否存在有向环,当有向环存在时,输出构成环的顶点。
简述集体行为的特征。
➕
➖
📋
⬆️
已复制到剪贴板