设函数f(x)=1+3x的反函数为g(x),则g(10)=( )

作者:高老师 浏览 2

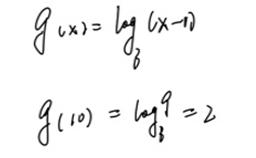
设函数f(x)=1+3x的反函数为g(x),则g(10)=( )
A、-2
B、-1
C、2
D、3
【正确答案】:C
【题目解析】:

【答案解析】


📱 扫码体验刷题小程序

微信小程序二维码

扫一扫使用我们的微信小程序

热门题目

已复制到剪贴板