翰林刷题,免费考试真题网站!
首页
关于我们
首页
›
分类
› 详情
作者:高老师
时间:2024-07-20
浏览 1
A、见上A
B、见上B
C、见上C
D、见上D
【正确答案】:C
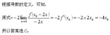
【题目解析】:
【答案解析】
📱 扫码体验刷题小程序
扫一扫使用我们的微信小程序
热门题目
( )不参与基金会计核算。Ⅰ.管理费Ⅱ.托管费Ⅲ.申购费Ⅳ.认购费
马克思主义的科学性和革命性统一于它的( )。
为了处理好交往中的馈赠行为,应如何正确对待礼尚往来?
如何正确处理好公平与效率的关系?
企业的灵魂是 ( )
下列对区域集团表述正确的是()
某投资人拟购入一种面值1 000元,票面利率6%的1年期债券。(1)假定按每张1020元的价格购入该债券,并持有到期。求债券的到
消费支出的变化落后于收入变化,并且可以在一定程度上缓解经济衰退的程度,这被称为消费的
根据下列事业单位的经济业务编制会计分录:根据下列事业单位的经济业务编制会计分录:(1)某医院购入专利权一项,以银行存款支付价款5
主存的地址空间常称为( )
在软件生产过程中,有关软件的功能设计和物理设计的信息是由()给出的。
兴趣
➕
➖
📋
⬆️
已复制到剪贴板