翰林刷题,免费考试真题网站!
首页
关于我们
首页
›
分类
› 详情
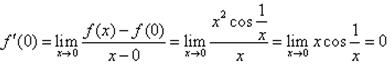
设函数
作者:高老师
时间:2024-07-20
浏览 0
设函数
A、
B、
C、
D、
【正确答案】:B
【题目解析】:
【答案解析】
。
📱 扫码体验刷题小程序
扫一扫使用我们的微信小程序
热门题目
企业战略联盟合作伙伴选择的3c原则兼容、 ______ 、投人。
坍圮了一段段高墙又散落了玉砌雕栏
简述信用对市场经济发展的积极作用
接受捐赠的无形资产价值的确定方式有()
在课堂上幼儿举手发言,有时举一次就能发言,有时要举四次或六次手才能得到一次发言机会,这种间歇强化的形式是
不是鱼死.就是网破。”这一语句所表达的判断的命题形式是() 。
trunk call
下列关于会计制度总体设计与具体设计关系的描述中,不正确的是()
简述敦煌曲子词的作者身份和题材特点。
《项脊轩志》:“比去,以手阖门,自语曰:‘吾家读书久不效,儿之成,则可待乎!’”这里所描写的是
画出图示结构中BD杆的受力图。
广告视觉语言
➕
➖
📋
⬆️
已复制到剪贴板