求由平面图形xy=1,x=2与y=3绕x轴旋转所得到的旋转体体积Vy.

作者:高老师 浏览 4

求由平面图形xy=1,x=2与y=3绕x轴旋转所得到的旋转体体积Vy.
A、π
B、
C、
D、
【正确答案】:D
【题目解析】:

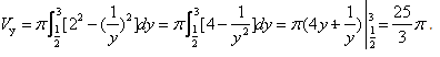
【答案解析】


📱 扫码体验刷题小程序

微信小程序二维码

扫一扫使用我们的微信小程序

热门题目

已复制到剪贴板