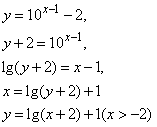
函数y=10x-1-2的反函数是 。

作者:高老师 浏览 2

函数y=10x-1-2的反函数是 。
【正确答案】: (x>-2)
【题目解析】:

📱 扫码体验刷题小程序

微信小程序二维码

扫一扫使用我们的微信小程序

热门题目

已复制到剪贴板