翰林刷题,免费考试真题网站!
首页
关于我们
首页
›
分类
› 详情
作者:高老师
时间:2024-07-20
浏览 2
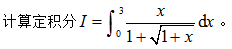
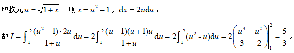
【正确答案】:
📱 扫码体验刷题小程序
扫一扫使用我们的微信小程序
热门题目
1950年6月,中共七届三中全会确定的中心任务是()。
从财务融资理论来看,现代企业财务管理的三大主题包括()
定编定员的方法主要有
中国革命第一个和最凶恶的敌人是
丹麦设计师____设计的“PH灯具”体现了艺术设计原则:____。
在家庭关系中处于核心地位的是( )
“有些偶数不能被3整除”这一判断是( )
提出“坐忘”的具体篇目是( )
某国实行浮动汇率,本币汇率上升,其他条件不变的情况下,下列说法正确的是()
按照国际习惯,一国货币单位的名称往往就是该国货币的名称,几国同用一个货币单位名称,则在货币单位名称前面加上国家名。下列比较特殊的
初级卫生保健的具体工作内容不包括下列哪项
塑造商业标记形象或品牌形象的重要因素是()。
➕
➖
📋
⬆️
已复制到剪贴板