翰林刷题,免费考试真题网站!
首页
关于我们
首页
›
分类
› 详情
作者:高老师
时间:2024-07-20
浏览 0
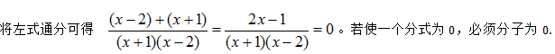
【正确答案】:
📱 扫码体验刷题小程序
扫一扫使用我们的微信小程序
热门题目
名词解释:电子商务认证中心
物流各环节之间相互转换的桥梁是 ( )
毛泽东把辩证唯物主义和历史唯物主义运用于党的全部工作,在中国革命和建设的长期艰苦奋斗中形成了具有中国共产党人特色的立场、观点和方
信用卡贷款属于()贷款。
访谈者可以在访谈时对谈话的内容和方向有所控制,既让受访者用自己的语言和概念表达自己的观点,同时又掌握谈话过程的主动权。这体现了访
若随机变量 x 与 y 的相关系数等于 0,则这两个变量之间( )
インドネシア
数据维护工作一般由_______来负责,主要负责数据库的安全性和完整性以及并发性控制。
大海电器公司生产的加湿器全部卖给批发商海田公司,再由海田公司出售给家电卖场并由它们销售给消费者,此分销渠道的级数是
气氛最紧张的、难度最大的谈判是( )
为了培养护士观察问题、分析问题和解决问题的能力,最好的培训方法是
临终关怀的基本原则包括 ( )
➕
➖
📋
⬆️
已复制到剪贴板