翰林刷题,免费考试真题网站!
首页
关于我们
首页
›
分类
› 详情
作者:高老师
时间:2024-07-20
浏览 0
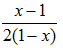
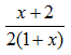
A、
B、
C、
D、
【正确答案】:B
【题目解析】:
📱 扫码体验刷题小程序
扫一扫使用我们的微信小程序
热门题目
施工企业所需的某种材料,年度采购总量为2000吨,材料价格为6000元/吨,一次订货成本为4000元,每吨材料的年平均储备成本为
台湾问题是中国国内战争遗留下来的问题,实质是()
实现社会总资本扩大再生产的前提条件是( )
产品质量认证制度
固定资产原始价值减去已提折旧后的净额称为( )
一所幼儿园根据国家学前教育法规政策、 先进的教育理念、本园特点设计了详细的课程方案,为方案更好地实施,成立以园长为主要责任人的领
近代成本会计阶段开始于
The rust could occur______transit.
企业没有进出障碍的市场是()
平均预期寿命的英文翻译是( )
The Doctor's Dilemma by Bernard Shaw describes the medical profe
下列属于计算机软件特点的是
➕
➖
📋
⬆️
已复制到剪贴板