设函数 二阶可导,求 的二阶导数

作者:高老师 浏览 0

设函数 二阶可导,求 的二阶导数


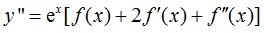
【正确答案】:
【题目解析】:

一阶导数 二阶导数


📱 扫码体验刷题小程序

微信小程序二维码

扫一扫使用我们的微信小程序

热门题目

已复制到剪贴板