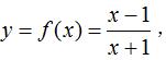
求函数 的反函数 .

作者:高老师 浏览 1

求函数 的反函数


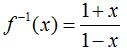
【正确答案】:
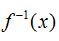
【题目解析】:

,在此方程中将x当作未知数解出来.


📱 扫码体验刷题小程序

微信小程序二维码

扫一扫使用我们的微信小程序

热门题目

已复制到剪贴板