翰林刷题,免费考试真题网站!
首页
关于我们
首页
›
分类
› 详情
函数 的全微分
作者:高老师
时间:2024-07-20
浏览 0
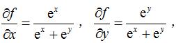
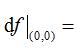
函数
的全微分
A、
B、
C、
D、
【正确答案】:A
【题目解析】:
因
则全微分
.故
📱 扫码体验刷题小程序
扫一扫使用我们的微信小程序
热门题目
金融机构通常采用客户调查问卷、产品风险评估、充分披露等方法,根据客户分级和( )匹配原则,避免误导投资者和错误销售。
我国电子商务的发展面临哪些与发达国家相同的普遍问题,又具有哪些特有的问题?
I recently had the opportunity to go to my first ever music fest
将绩效考核划分为定性考核和定量考核的划分依据是按绩效考核的
从确定职位空缺、确定招聘策略到应聘者筛选及录用等一系列环节的整个过程指的是
( )是关于保护和增进人的心理健康的心理学原则、方法和措施。
教室里太嘈杂了,老师不得不提高嗓门才能让学生听见他的声音。
下列支出中,在计算应纳税所得额时不允许在税前扣除的是
简述销售与收款内部控制监督检查的主要内容。
关于审计报告的分类,说法正确的有( )。
出口管制确立的基本原则包括()
实行外汇管制或不能自由兑换的国家,商品的国别价值转化为国际价值
➕
➖
📋
⬆️
已复制到剪贴板