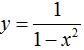
曲线 的垂直渐近线的条数为

作者:高老师 浏览 2

曲线 的垂直渐近线的条数为


A、1
B、2
C、3
D、4
【正确答案】:B
【题目解析】:

只在 处有极限 ,则曲线只有 两条垂直渐近线.


📱 扫码体验刷题小程序

微信小程序二维码

扫一扫使用我们的微信小程序

热门题目

已复制到剪贴板