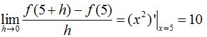
设函数 ,则极限

作者:高老师 浏览 0

设函数 ,则极限


A、5
B、10
C、15
D、20
【正确答案】:B
【题目解析】:

直接计算极限 或根据导数的定义可知


📱 扫码体验刷题小程序

微信小程序二维码

扫一扫使用我们的微信小程序

热门题目

已复制到剪贴板