翰林刷题,免费考试真题网站!
首页
关于我们
首页
›
分类
› 详情
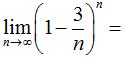
极限
作者:高老师
时间:2024-07-20
浏览 1
极限
A、
B、
C、
D、
【正确答案】:A
【题目解析】:
根据公式
,直接套公式计算
.
📱 扫码体验刷题小程序
扫一扫使用我们的微信小程序
热门题目
,,,,
在面试中,将应聘者置于某一特定的职位,让应聘者对一组杂乱无章的文件、信件、信息等在给定的时间内进行处理。这种测评方法被称为
人事信息
孟子管理思想的岀发点和前提是
某广告客户,其2015年销售额为300万元,2016年销售额达到500万元。其在2016年投入的广告费用额为20万元,试用销售额
欧盟委员会保育协会组织在1996年建议,欧洲各国应该投入早期教育和保育事业的资金,至少占国民生产总值的( )
简述行动研究的注意事项。
SAP通过直接换位可以得到______。
在下列各项中,没有准确表达“只有坚持反腐败,才能端正党风”的原意的有
我国规定托儿所的双重特性是( )
对存货存在的确认,主要是通过观察程序进行。
在调整资产负债表有关非货币性项目时,不同的项目采用的方法不同。对于留存收益项目的调整,一般采用余额法。其计算公式为( )。
➕
➖
📋
⬆️
已复制到剪贴板